不要在晚上做决定,我们可能从很多地方听到过这个建议,这也许是一些前辈的经验之谈,但今天我们一起来聊聊这个建议背后的科学道理。
首先,试着想想,你有没有过以下遭遇:
早早起来,想给自己选一套完美的衣着搭配,反复挑选的过程中纠结起来,眼看着临近出门的时间,一边匆匆抓起一件平平无奇的卫衣/T恤,一边感叹着“我没衣服穿了,该买衣服去了……”
走进餐厅,看着琳琅满目的菜品,觉得少点哪样都不满意,最后点了过多的菜,看着结账后的钱包感受“心在滴血”
晚上睡觉之前,激情满满决定给美好的明天来一个充实的计划。但是,该如何给任务分配时间的长短和先后?在这犯难的过程中迷失自我,最后索性放弃,决定明天再做打算……
在这些情境里,我们常常以高涨地情绪开始,又以“心累”结束,明明充满着选择,我们却觉得“没有选择”。这是因为我们遇到了“决策疲惫”。
什么是决策疲惫?
顾名思义,“决策疲惫”是人们在做决策的过程中遭遇到的“疲惫状态”。心理学研究中,将“决策疲惫”看作是自我损耗的一种症状或表现[1]。
弗洛伊德认为,人的精神分为三大部分——自我(有意识),本我(追求快乐),超我(最道德化的自我)。自我需要某种形式的能量来完成它的任务,调和本我和超我之间的矛盾。

加拿大心理学家鲍迈斯特在这一理论的启发下提出了“自我损耗”(ego depletion)的概念:人的意志力是有限的,我们时时刻刻都在消耗着我们的意志力,这便是自我损耗[2]。比如,当我们保持注意力专心致志地做某事时,便会消耗我们的意志力,进行“自我损耗”。
而处于自我损耗状态时,人们将面临认知能力下降、心理控制力减弱、更易做出不理性行为等风险[1]。
什么时候会发生决策疲惫?
在我们的生活中,有两种常见情境会导致决策疲惫:
//1.多样选择导致疲惫
常识中,人们可能会倾向于认为“选择多比选择少更好”,实则不然。
一方面,选择多样会引起决策疲惫,导致我们做出不理性选择的可能性大大增加[3]。
例如,计划买一包小零食解馋——走进商店——琳琅满目的货架上摆的全是我爱吃的垃圾食品——每一袋看起来都很好吃——于是顺手就买多了——回家妈见打
另一方面,当选择让人感到泄气时,无限的选择反而会导致人们变得不满[3]。
例如,计划买一包小零食解馋——走进商店——琳琅满目的货架上摆的全是我爱吃的垃圾食品——每一袋看起来都很好吃——不知道买什么好——干脆不买了

一些商家便利用了这一点来制造消费陷阱:一开始先热情地为我们介绍大量的商品,给予我们大量的选择,而“挑花眼”后的我们做出非理智消费的可能性便大大提升了。
但是,商家们也请小心:如果过度使用这个心理机制则会适得其反,让人们变得烦恼,从而抑制了消费行为。(商家,你们学废了吗?)
//2.重复决策导致疲惫
对于某些职业的工作人员而言,ta们可能每天都要经历重复决策——每天进行重复的、相似的任务性选择,进而产生决策疲惫。
在以色列,假释委员会定期会对犯人做出是否假释的决定,审判长将对犯人进行“面试”,在面试后决定是否假释这个犯人。日复一日,人们发现,犯人获得假释的概率与他所犯下的罪刑、服刑期间的道德表现无关,而与他们去面试的时间有关:通常来说,上午去面试的犯人获得假释的概率更高,达到70%,而到了下午,这个比例急转直下,只有10%[4]。这是因为审判长在重复决策导致的疲惫状态下,会倾向于选择更容易的决策结果——驳回假释。毕竟,给犯人通过假释是有风险的,拒绝假释也就意味着降低了自己的职业风险。
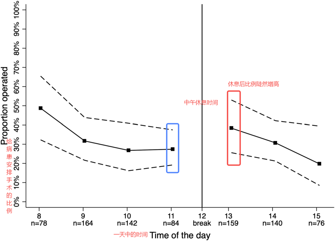
对于慢性病人来说,医生的决策对病人的治疗效果起着重要作用,选择给病人做手术与否需要医生精准的判断,否则可能会影响病人后续的生活状况。由于医生每天都要会诊大量的病人,医生每天也经历着与审判长相似的重复决策场景。研究发现,在医生值班期间,相比于第一位患者,最后一位患者被安排手术治疗的概率下降了33%[5]。
这种前后不一的决策结果往往是因为:在非疲惫状态下,同时在选择范围和难度有限的情况下,人们更可能优化决策的方法,让决策的结果最大化地为动机服务,提升我们对结果的满意度。但在决策疲惫的状态下,人们的决策模式很可能发生改变,从高强度的认知推理法,走向一个捷径——启发式决策法,即用简单的经验做出决策[3]。
尤其是当选择的复杂性不断提高,人们使用“消除策略”解决问题的倾向逐渐上升[6]。比如,你在挑选衣服时不知道选择哪一件时,你很可能按照某个标准进行信息过滤:1.挑出某个价位的/2.选择某个平时自己不会“踩雷”的色系;/3.……
为什么会发生决策疲惫
据一项美国的研究统计,成年人一天平均要做出35000个决定[7]。( 别看数字惊人,人们总是在不知不觉中做出了大量的决策,比如你此时此刻大脑可能在犹豫你要不要继续阅读这篇文章)在大量的决策选择中,人们难免会经历疲惫的时期。几十年来,科学家们也对此有着许多研究。
//1.“自我损耗”模型
鲍迈斯特认为,意志力帮助我们在日常行为中抵制诱惑,即进行“自我控制”[2]。而自我控制的过程,便会让我们产生如下几方面的“自我损耗”:
【能量资源消耗】我们做选择的过程消耗了原本应该分配给自我控制的意志力资源,这导致我们自我控制的水平降低,变得容易放弃以及做出非理性选择[2]。
【情绪控制】在“自我损耗”下,我们的情绪也会发生变化。情绪的变化会引起“自我调控系统”对我们的行为进行调整,指导我们作出回避反应——问题解决不了索性就半途而止了,决定不了那么索性就不做决定了[1]。
【生理因素】自我控制的行为消耗大量的葡萄糖。当血糖水平偏低,不能有效地调动到大脑时(即当胰岛素水平偏低时),自我调节失败的可能性更大。
研究发现,当我们感到疲倦时,将葡萄糖恢复到足够的水平通常会提高自我控制能力[8]。例如,慢性病人被安排手术的概率从清晨的高比例到临午餐前都呈下降趋势,在医生进行午餐后,又恢复到高比例,随着时间推移,再次下降[5]。

然而,关于葡萄糖的理论学术界现在仍有争议。持怀疑意见的学者认为,无论一个人在做什么,大脑对能量的总体使用是相同的,这与鲍迈斯特提出的能量耗尽影响意志力的概念并不一致。与鲍迈斯特共事的托德便是怀疑者之一,尽管他相信自我损耗的存在,但他始终不明白这个神经过程是如何仅由葡萄糖水平变化引起的。
但“自我损耗模型”又确实有大量的实验证明,比如「顺序任务」实验:
首先,参与者被分成两组,分别是“普通组”和“自我损耗组”。分到“普通组”的参与者不做任务或者做一些“自我损耗”程度小的任务,“自我损耗组”参与者则做一些“自我耗散”程度大的任务。然后,研究者让所有参与者做一个相同的任务,并比较不同组参与者的表现。
结果发现,相比于“普通组”的参与者,“自我损耗”组的参与人员错误率更高或是自控能力更差,有些人甚至想要放弃做任务。
//2.动机转变模型
但有研究者认为,「顺序任务实验」反映的不一定是自我控制资源的缺失,而可能是理性缺失或自我放纵[9]。我们的“疲惫感”可能源自于我们行为动机的转变——对“自我控制”的动机下降了,而对“自我放纵”的动机增强了。由于理智的决策需要我们保持“自控”的动机,而我们动机发生转变后,我们对“自控”这个行为感到疲惫,进而转向“放纵”的动机,导致我们理性下降,做出非理性选择的可能性提高。
自我控制的过程可以理解成两种力量在对抗和竞争——
一个是冲动力量:向往自律后的奖励、享乐等“诱惑”行为(内在的,“我想要做”的事情);
一个是自我控制力量:即自律过程,通常表现为为专注于目标付出大量的努力(外在的,我“不得不做”的事情)。
而通常我们所渴望的保持自律的过程,就是这两种力量的博弈过程。

在日常生活中,这种自我博弈的心理现象并不少见:在我们进行“体重管理”计划的时候,对诱人的高热量食物的向往就是我们破坏计划的冲动力量;而跟着刘畊宏“痛苦面具”般的进行高强度锻炼,或者当朋友在身边大口嚼着炸鸡喝着可乐,而我们却能经受住“美食诱惑”,则是对实行计划的自我控制力量。
如果是在看见了“努力会带来奖励”引发的自律动机,人们在努力结束后往往会放弃自我控制,出现一种类似于这是我努力了就应该有所得,“奖励”是“自律”「欠」我的认知观念[9]。这也是为什么很多人在节食减肥后容易出现报复性饮食的现象。
因此,在动机转变模型中,自我损耗源于注意力的调节和动机的转变,这种转变导致了注意力的缺陷和冲动的增强,从而降低了个人识别内部冲突或者比较差异的能力[10]。

回到“为什么尽量不要在晚上做决策”这个问题,答案已经显而易见了:
大部分人经历了白天的工作,身心处于疲惫状态,渴求尽快得到休息,这时候如果我们要强迫集中自己的注意力往往就没那么容易了。
同时,我们会在这时候倾向于使用更加简易的方式做出选择,比如上文中提到的“消除策略”,帮助我们快点到达“做决策的终点”,解放处于思考枷锁中的心灵,去靠近我们真正想要做的事情(享乐、放松)。运用启发式策略尽管快捷,但可能有考虑不周的风险。因此,在晚上做出的重大决定往往不太明智。
如何解决决策疲惫?
//1.缩小选择范围
当你不知道如何选择,可以选择“小孩子才做选择,我全都要!”,进而排除所有的干扰。明确我们做选择的目的,缩小选择的范围可以帮助我们减少决策时的疲惫感。
比如美国总统奥巴马在一次采访中说道:“你会发现,每次我出现在大家面前都是穿着一件灰色或是蓝色的西装上衣。”我们学生时代常常被要求穿着校服,这也是帮我们“保存能量”的一个方式,让你不必在衣服选择上浪费精力。
//2.按任务性质进行决策
简化决策的思考过程,有条理地安排计划也有助于我们缓解决策疲惫。
对于管理层人员来说,拥有一套系统化的制度操作(institutionalization)做决策非常重要,因为这样才能够“决定如何做出决定”[11]。
对于个人,为自己制定一个“系统”也不失为一个良方,比如可以使用一个四象限表格(先后顺序:①紧急且重要,②紧急不重要,③不紧急但重要,④不紧急且不重要)去规划所要完成的任务,按事情的紧急程度和重要程度去完成任务。

//3.合理安排决策时间
了解自己身体休息的规律,如果在面对重大选择的时候,刚好到达了一天中你需要休息的时间,那么最好的选择是先休息。
相信大家都很讨厌“拖延”吧,一想到要把事情往后堆积便可能会引发焦虑情绪。但在“决策疲惫”的状态下,我们非但不需要为问题“悬而未决”感到焦虑,相反地,在这时候选择“拖延”可能是一个更明智的选择。
Ps:为了能够把更多的“能量”储存到重要的事情上,防止决策疲惫,请不要犹豫,赶紧给这篇文章点个赞吧!
参考文献:
[1] Pignatiello, G. A., Martin, R. J., & Hickman Jr, R. L. (2020). Decision fatigue: A conceptual analysis. Journal of health psychology, 25(1), 123-135.
[2] Baumeister, R. F., Bratslavsky, E., Muraven, M., & Tice, D. M. (1998). Ego depletion: Is the active self a limited resource?. Journal of personality and social psychology, 74(5), 1252.
[3] Iyengar, S. S., & Lepper, M. R. (2000). When choice is demotivating: Can one desire too much of a good thing? Journal of Personality and Social Psychology, 79(6), 995-1006
[4] Tierney, J. (2011). Do you suffer from decision fatigue. The New York Times, 17.
[5] Persson, E., Barrafrem, K., Meunier, A., & Tinghög, G. (2019). The effect of decision fatigue on surgeons' clinical decision making. Health economics, 28(10), 1194-1203.
[6] Timmermans, D. (1993). The impact of task complexity on information use in multi-attribute decision making. Journal of Behavioral Decision Making, 6, 95-111.
[7] Sollisch J (2016) The cure for decision fatigue. Wall Street Journal. Available at: https://
www.wsj.com/articles/the-cure-for-decision-fatigue-1465596928
[8] Gailliot, M. T., & Baumeister, R. F. (2007). The Physiology of Willpower: Linking Blood Glucose to Self-Control. Personality and Social Psychology Review, 11(4), 303–327.
[9] Inzlicht, M., & Schmeichel, B. J. (2012). What is ego depletion? Toward a mechanistic revision of the resource model of self-control. Perspectives on Psychological Science, 7(5), 450-463.
[10] Inzlicht, M., Schmeichel, B. J., & Macrae, C. N. (2014). Why self-control seems (but may not be) limited. Trends in cognitive sciences, 18(3), 127-133.
[11] Davenport, T. H. (2009). Make better decisions. Harvard business review, 87(11), 117-123.
声明:本站内容与配图转载于网络,我们不做任何商业用途,由于部分内容无法与权利人取得联系,稿费领取与侵权删除请联系我们,联系方式请点击【侵权与稿费】。
求助问答
最新测试
18258 人想测
立即测试
46102 人想测
立即测试
11125 人想测
立即测试
12988 人想测
立即测试
369079 人想测
立即测试